Predictive Astrology. Rectification

With the help of astrology, one can solve the main problems that every person faces — how to become happy, healthy and rich. The first is solved with the help of the formula of happiness described by Hermes the Thrice Great 5000 years ago, the second problem is solved with the help of knowledge of the formulas of illness, and the third problem is solved with the help of the formula of wealth that I received in 2000. In Tibetan astrology, an astrologer is defined as a person who has accumulated good merits in past incarnations, which allow him to control events. A person without knowledge of the future is like a car moving in the dark with the headlights off. Astrology is the light that allows you to see the road ahead. In this case, free will ceases to be an empty phrase. Only knowledge allows you to make the right decisions and make an informed choice.
The subject's horoscope, his natal chart, is a map of this microcosm, which is spatially organized like the macrocosm. Using modern language, we can say that the natal chart is a map of the subject's hologram, which captured the picture of the world at the moment of his birth. The concept of event formulas allowed us to create a reliable mechanism for forecasting events, based on precise forecasting and rectification methods.
PROGRESSIONS
All types of progression are based on changing the position of the elements of the original map at a certain speed. Moreover, both the speed of movement of the elements and the direction may differ from the speed and direction of change of points on the real celestial sphere. From an occult point of view, the natal chart, reflecting the position of the planets at the moment of a person's birth, is from that moment a map of the Microcosm, the inner Universe of a person. Events in this inner Universe can occur differently than in the real Cosmos - Macrocosm. The method of progressions can be figuratively compared to the work of a clock, on the dial of which the hour, minute and second hands move at different speeds. The method of progressions can also be compared to a computer program and called it a program of our destiny. From this it becomes clear that all types of progressions technically differ from each other in the speed and features of the movement of the elements of our inner space. In this case, as in the case of transits, the direction of progressions can be direct, directed to the future, and reverse - a wave going into the past from the moment of birth. In the latter case, we are dealing with the so-called regressions. Analysis of progressions comes down to the analysis of the relationships of progressive elements with the elements of the radix.
The main principle underlying progressions is the principle of projections, or the principle of the hologram, which in occult language sounds like "everything is in everything": the smallest point of the Universe contains everything necessary for the emergence of a new Universe, and therefore the smallest moment contains Eternity.
Slow progression is an active program of our destiny. Its instructions determine the events that change our life or our status. The action of the progressive aspect ends, but we do not return to the original state. Events caused by progressive aspects leave a mark for life.
Fast progression, like transits, does not have much independent significance and produces significant events only against the background of slow progression. In case of contradictory indications of fast and slow progressions, priority is given to the slow progression
It is different with progressions. They do not change their meaning under any circumstances. Tense progressive aspects, such as: square, quincunx, opposition - determine negative events, and harmonious ones: semi-sextile, sextile, trine - accompany success and luck. The conjunction, as is known, depends on the interacting elements of a specific horoscope.
Fast progression, like transits, does not have much independent significance and gives significant events only against the background of slow. In case of contradictory indications of fast and slow progressions, priority is given to the slow progression.
Event formulas
contact
For the event to occur, it is necessary and sufficient to repeat the situation three times at each level:
in the natal chart, in slow progression, in fast progression and in transit aspects. Such a closure
by reproducing the situation at all main levels leads to the inevitability of the event.
A person can and should not get sick. Astrology helps him in solving this difficult task, facilitating
medical diagnostics, identifying periods of exacerbation in advance and providing information on the optimal time for treatment and surgery. Taking these points into account allows a person to take adequate precautions in advance and avoid many troubles.
1. Conception and birth of a child IV ± V
2. Formula of creative success (entering college, defending a dissertation, approving a project, program,
achievements in sports) IX + X
3. Formula of love MP V + VII + X
4. Disappointments in love, betrayals MP V ~ VII ~ X
5. Marriage registration BP VII + X
6. Divorce (in prognosis) VII ~ XI or Uranus
7. Separation, alienation V ~ VII ~ X
8. Travel I ± IX
9. Change of address in the city
or province IV ± III
10. Moving to another city or country IV ± III ± IX ± XII
(the more participation of the IX and XII
houses - the further)
11. Forced relocation IV ~ IX ~ XII
12. Tour V ± IX
13. Business trip V I ± I X
14. Business trip VI ± X ± IX
15. Starting a job II + VI + X
16. Promotion VI+ x
17. Appointment to a management
position VI + VIII + X
18. Dismissal from work
at one's own request I ~ XI ~ II or
II ~ VI ~ X ~ XI
19. Dismissal due to staff reduction II ~ X ~ VI
20. Transfer to another job VI±XI or
VI ± X ± XI
21. Receiving an inheritance VIII + XI + II
22. Receipt of real estate IV + VIII + XI +
by inheritance II + V + VII
23. Formula of illness VI | VIII | XII ~
VI | VIII | XII
24. Treatment VI | VIII | XII +
VI | VIII | XII
25. Minor injury I - I
26. Injury with temporary loss
of working capacity I ~ VI
27. Accident, injury
with possible hospitalization I ~ XII
28. Accident with danger to life I ~ XII & I ~ VIII
29. Danger to life I | X ~ VIII
30. Protective aspects 11 X + VIII
31. Formula of causing physical
harm to another person or I | X ~ VIII ~ VII
receiving physical harm
from another person
32. Offences and Crimes IX - XII
Conception of a child 4 +/- 5
Entry to college 9 +/- 10
Marriage registration 7 +/- 10
Moving 4 +/- 5
Business trip 6 +/- 9
Injury 1 - 1
Accident 1 - 12
Crime 9 - 12
Sports success 9 + 10
Purchase - sale 2 + 3
Wealth talisman 2 - 9 - 11
Success talisman of social and creative realization of recognition of merits 9 - 10
Formula of love 5 - 7
Earnings talisman 2 - 3
Formula of medium business 2 - 8
Accident protection 3 - 8
Healing water magnetization 6-8-12
Fate management formula talisman 4-9-12
Astrologer's talisman helps to build an accurate horoscope and rectification 3 - 11
Money talisman - increasing wealth consists of harmonious aspects 2 - 8
Rectification formula
-------------------------------------------------------------------
life danger formula
1 / 10 - 8
mercury - 8th house indication of premature death
premature death
child death formula
mother has 1 son in 5th house
mother has 2 sons in 11th house
2 and 5 are affected by 8 and 12
11 and 8 are affected by 6 and 8
( 2 - 8 ) + ( 2 - 12 ) + ( 5 - 8 ) + ( 5 - 12 )>= 3rd eldest son
( 11 - 6 ) + ( 11 - 8 ) + ( 8 - 6 ) + ( 8 - 8 )>= 3rd youngest son
-------------------------------------------------------------------
death of father
1 ) ( 1 +/- 8 ) + ( 4 +/- 8 ) >= 3
2 ) ( 1 +/- 11 ) + ( 4 +/- 11 ) + ( 8 +/- 11 ) >= 3
3 ) And 1, 2
result = 3
harmonious aspects during the death of the father mean inheritance.
death of loved ones mixed aspects
1 and 4 houses must be in aspect with 8 at least 3 times mixed aspects
1 and 4 must be in aspect with 11 at least 3 times this can be replaced with 8 - 11
this formula is for drawing the attention of his loved ones.
-------------------------------------------------------------------
mother's death
10th house mother
10 of 10 = 7th house
must be in aspect with 8th house
8 of 10 = 5th house
10 or 7 aspect with 8th house
10 or 7 aspect with 5th or 8th - 5
1 ) ( 10 +/- 8 ) + ( 7 +/- 8 ) >= 3
2 ) ( 10 +/- 5 ) + ( 7 +/- 5 ) + ( 8 +/- 5 ) >= 3
3 ) And 1, 2
result = 3
-------------------------------------------------------------------
for brothers and cousins ??too or death of nephew
death of child of brother or sister
3 and 12 with 8
3 and 12 with 10 or 8 with 10
1 ) ( 3 +/- 8 ) + ( 12 +/- 8 ) >= 3
2 ) ( 3 +/- 10 ) + ( 12 +/- 10 ) + ( 8 +/- 10 ) >= 3
3 ) And 1, 2
result = 3
-------------------------------------------------------------------
court verdict. date of sentencing.
9 - 12 is a crime and punishment
1 ) ( 9 - 12 ) >= 3
result = 1
---------------------------------------------------
moving 4 - 9 and 4 - 12 and 4 - 3
-------------------------------------------------------------------
serious car accident
danger formula
1 - 3 - 8 danger on the street or from transport
no need to look for indications of an accident in the radix
Moon in MP gives indications for the month of the event
8 - 3 damage to the car
11 - 3 possible accident
any defeat of the 3rd house and Mercury indicates a possible accident
Mercury as a vehicle
damage from the 11th house increases the accident
from the 6th or 12th house more serious accident but small expenses
if the defeat is from the 8th house then the expenses are significant in case of an accident.
if defeat from the 7th house then it is a meeting - a collision
3 - 8 car accident
10 + 8 protective aspect
8 - 10 formula of danger
7 - 8 formula of collision
3 - 8 formula of car accident
there must be a formula of danger 8 - 10 or 8 - 1
and also 7 - 8 collision
3 - 8 accident
for an accident it is enough that it was in transit or fast
1 ) ( 1 - 8 ) + ( 10 - 8 ) >= 3
2 ) ( 7 - 8 ) >= 3
3 ) ( 3 - 8 ) >= 3
4 ) And 1, 2, 3
result = 4
-------------------------------------------------------------------
Car theft
if thrown out of the car then there should be 1 - 8 or 10 - 8 danger to life
material damage 2 - 3 - 8
crime formula 9 - 12 means violation or disregard of safety rules.
8 + 3 safety and in tense aspects 8 - 3 danger to the car
8 - 2 major material damage
1 ) ( 9 - 12 ) >= 3
2 ) ( 3 - 8 ) >= 3
3 ) ( 2 - 8 ) >= 1 the more indications the greater the damage
4 ) And 1, 2, 3
result = 4
the presence of 3 - 8 in the horoscope indicates that he does not always pay due attention to safety
buying a car
2 + 8 good financial situation or business this makes it possible to buy a car
People engaged in business have a strongly aspected black moon
Businessmen on tense aspects and grab a lot of money.
In transits on tense aspects there is a lot of money in business.
In progressions, tense aspects lead to losses.
( 2 + 3 ) + ( 2 + Murcury ) formula for purchasing a car
( ( 2 + 3 ) + ( 2 + Murcury ) ) And ( 2 + 8 ) is an expensive car.
3rd house and Murcury are responsible for the vehicle.
Murcury + 2nd house
Aspects for purchasing a car can be on divergent aspects.
BP and transits are not important. The horoscope of the car is important.
Mars and Jupiter should not hit each other in the horoscope of the car.
Progression is motivation if they are good then the decisions are correct
if the aspects are tense then the decisions will be incorrect.
So that Mars and Saturn Pluno and especially each other in the horoscope of purchase do not affect anyone
since this is a design defect that will manifest itself.
Mars affects Jupiter, this is a fire and explosion in a car.
There should not be
-------------------------------------------------------------------
buying real estate
the quality of housing depends on the 4th house.
each house is rich in its connections.
4 + 8 real estate acquisition
with unfavorable aspects the consequences are bad
10 + 8 speaks of good income and an expensive purchase
purchase of an apartment can be on divergent aspects
3 -/+ 4 formula for change of address
3 - 4 forced change of address
2 -/+ 4 formula for rent
in the BP creates an aspect with the real estate significator elements of the 4th house
if during the purchase 9 - 12 litigation over real estate is possible
transits and BP are not important
You need to buy
-------------------------------------------------------------------
Conceiving a child 4 + 5
progression shows desire and motivation
taking a child from an orphanage
infertility formula
The Moon is especially in the signs Scorpio Capricorn afflicted by Saturn without harmonious aspects
in the disease formula.
4 + 5 conception formula in slow progression
in conception only slow progressions and the female calendar
transits and BP are not important
you need to look so that there is no danger 1/ 10 - 8
8 - 4 danger to the fetus
-------------------------------------------------------------------
To find out the date of the orb is divided by the speed and multiplied by 365 days
this shows the date of the exact aspect.
Moon 1 degree per month
Sun Venus Mars and house cusps 1 degree year.
Jupiter 4 years and more 1 degree
-------------------------------------------------------------------
marriage formula
love formula in slow progressions
( 10 + 7 ) + ( 5 + 7 ) + ( 5 + 10 ) >= 3
( 11 - 7 ) + ( 4 - 11 ) relationship breakdown formula
7 - 10 alienation destruction
-------------------------------------------------------------------
promotion to a management position or getting a job
tense horoscopes go to all problems
( 2 + 6 ) + ( 2 + 10 ) + ( 10 + 6 ) >= 3 indications of work in slow progressions
2 + 6 work for hire
10 + 2 good salary
10 + 6 management position
10 + 8 management job with financial responsibility
2 + 8 for business
6 + 10 >= 3 ukz in the radix
10 + 8 house is often necessary for a management position
8 house is the house of other people's money (financial responsibility)
10 + 2 position with a good salary
rectification by BP by appointment to a management position cusp of the 10th house in aspect with the planet element of the 10th house
simply starting work according to the MC with the element of the 6th house
these dates do not work exactly because they are associated with accounting matters and weekends
defense of the dissertation MC in aspect with the element of the 9th home
slow progression
Resignation at own request from a management position 11 - 10
Resignation not from a management position 11 or Uranus - 6 >= 3 indications suddenly unfavorable conditions appear in the form of a change in the type of work or a new employee
layoff from work 10 - 2
dismissal can be on divergent aspects
-------------------------------------------------------------------
emigration 4 - 9 - 12
opening a company 2 + 8
with harmonious aspects of the 8th house in progressions
Orbs of aspects for natal transit solar lunar

contact
There are 3 types of event formulas
Simple
complex
composite
interface for entering event formulas for forecasting and rectification












forecasting methods
transit
slow progression
fast progression
Solar
Lunar
directions of the solar arc.
symbolic directions
profections
direction 1 gr - month
direction 1 gr - day
Duodenarions
Subduodenarions
Novenaria
Septenaria
Measure of death
Measure of Naros
Reverse transit
weekly progressions
reverse weekly progressions
secondary progression
reverse secondary progression
minor progression
reverse minor progression
tertiary progression
reverse tertiary progression
Forecast period 01.01.1980 - 01.01.2030
Forecast step 24:00:00
GMT forecast 0:0:0
---------------------Forecast methods-------------------
Slow progression
Direction 1 ° = 1 year
-------------------------------------------------------
Date 1.1.1980 0:0:0 - 28:3:1980 0:0:0
Slow progression Sun<0>Venus
Direction 1 ° = 1 year Sun<0>Venus
Date 13.11.1980 0:0:0 - 11:4:1981 0:0:0
Slow progression Sun<30>Mars
Direction 1 ° = 1 year Sun<30>Mars
date 1.3.1981 0:0:0 - 24:4:1981 0:0:0
Slow progression Moon<120>Venus
Direction 1 ° = 1 year Moon<180>Venus
date 30.3.1981 0:0:0 - 22:5:1981 0:0:0
Slow progression Moon<150>Mars
Direction 1 ° = 1 year Moon<150>Mars
date 1.1.1980 0:0:0 - 22:10:1981 0:0:0
Slow progression Lilith<150>Mercury
Direction 1 ° = 1 year Lilith<180>Mercury
date 5.12.1988 0:0:0 - 21:12:1988 0:0:0
Slow progression Sun<120>Lilith
Direction 1 ° = 1 year Sun<120>Lilith
date 17.3.1990 0:0:0 - 6:5:1990 0:0:0
Slow progression Moon<120>Lilith
Direction 1 ° = 1 year Moon<60>Lilith
date 21.4.1990 0:0:0 - 9:6:1990 0:0:0
Slow progression Moon<60>Neptune
Direction 1 ° = 1 year Moon<120>Neptune
date 30.11.1994 0:0:0 - 25:1:1995 0:0:0
Slow progression Moon<90>Mercury
Direction 1 ° = 1 year Moon<150>Mercury
date 3.1.1995 0:0:0 - 28:2:1995 0:0:0
Slow progression Moon<60>Pluto
Direction 1 ° = 1 year Moon<180>Pluto
date 17.5.2002 0:0:0 - 13:1:2003 0:0:0
Slow progression Mercury<120>Lilith
Direction 1 ° = 1 year Mercury<90>Lilith
date 2.2.2003 0:0:0 - 1:4:2003 0:0:0
Slow progression Moon<90>Jupiter
Direction 1 ° = 1 year Moon<120>Jupiter
date 15.2.2003 0:0:0 - 15:4:2003 0:0:0
Slow progression Moon<150>Uranus
Direction 1° = 1 year Moon<120>Uranus
date 26.5.2002 0:0:0 - 24:5:2004 0:0:0
Slow progression Mercury<60>Neptune
Direction 1° = 1 year Mercury<30>Neptune
date 29.9.2005 0:0:0 - 23:11:2005 0:0:0
Slow progression Moon<120>Rahu
Direction 1° = 1 year Moon<120>Rahu
date 29.9.2005 0:0:0 - 23:11:2005 0:0:0
Slow progression Moon<60>Ketu
Direction 1 ° = 1 year Moon<60>Ketu
date 10.10.2005 0:0:0 - 5:12:2005 0:0:0
Slow progression Moon<60>Moon
Direction 1 ° = 1 year Moon<60>Moon
date 31.5.2005 0:0:0 - 30:5:2007 0:0:0
Slow progression Neptune<0>Neptune
Direction 1 ° = 1 year Neptune<60>Neptune
date 6.3.2008 0:0:0 - 28:4:2008 0:0:0
Slow progression Moon<90>Sun
Direction 1 ° = 1 year Moon<120>Sun
date 30.3.2008 0:0:0 - 22:5:2008 0:0:0
Slow progression Moon<120>Saturn
Direction 1 ° = 1 year Moon<150>Saturn
date 26.4.2008 0:0:0 - 25:4:2010 0:0:0
Slow progression Uranus<0>Rahu
Direction 1 ° = 1 year Uranus<60>Rahu
date 26.4.2008 0:0:0 - 25:4:2010 0:0:0
Slow progression Uranus<180>Ketu
Direction 1 ° = 1 year Uranus<120>Ketu
date 30.7.2010 0:0:0 - 19:9:2010 0:0:0
Slow progression Moon<90>Venus
Direction 1 ° = 1 year Moon<150>Venus
date 22.9.2008 0:0:0 - 21:9:2010 0:0:0
Slow progression Uranus<180>Moon
Direction 1 ° = 1 year Uranus<120>Moon
date 11/20/2010 0:0:0 - 18:11:2012 0:0:0
Slow progression Jupiter<120>Sun
Direction 1 ° = 1 year Jupiter<180>Sun
date 10/17/2012 0:0:0 - 7:12:2012 0:0:0
Slow progression Moon<90>Mars
Direction 1 ° = 1 year Moon<180>Mars
date 10/10/2011 0:0:0 - 8:10:2013 0:0:0
Slow progression Jupiter<90>Saturn
Direction 1 ° = 1 year Jupiter<150>Saturn
date 28.6.2017 0:0:0 - 18:11:2017 0:0:0
Slow progression Mars<90>Mercury
Direction 1 ° = 1 year Mars<120>Mercury
date 2.9.2018 0:0:0 - 20:9:2019 0:0:0
Slow progression Mars<60>Pluto
Direction 1 ° = 1 year Mars<90>Pluto
date 12.9.2019 0:0:0 - 3:11:2019 0:0:0
Slow progression Moon<90>Lilith
Direction 1 ° = 1 year Moon<90>Lilith
date 30.8.2024 0:0:0 - 28:10:2024 0:0:0
Slow progression Moon<120>Mercury
Direction 1 ° = 1 year Moon<120>Mercury
Astrological programming language of the horoscope
polm. male gender
polg. female gender
rogd. day birth
rogn. night birth
uprvdome house ruler in the house
data2 date of birth in the period of dates
data date of birth
pldom planet in the house
asp aspects
retrop retrograde planet
or OR
and AND
inv inversion
znakcent accented sign
plznak planet in the sign
kdznak house cusp in the sign
plznakdekan planet in the decan
kdznakdekan house cusp in the decan
plznakgradus planet in the degree
kdznakgradus house cusp in the degree
slformula complex formula
plznakterm planet in the 5th thermometer (term)
plgradus planet in degrees 0 - 360
plgradusbz planet in degrees 0 - 30 without sign
pltretdoma planet in the third house
or.(1,2) - logical command OR
and.(1,2) - logical command AND
inv.(1) - logical command inversion 0 = 1 1 = 0
plznak.(1,2) planet in sign
kdznak.(1,2) house cusp in sign
plznakdekan.(1,2,1) - planet in decan
kdznakdekan.(1,2,1) - house cusp in decan
plznakgradus.(1,2,1) - planet in degrees
kdznakgradus.(1,2,1) - house cusp in degrees

Scanner of exact aspects in MP
Mercury - 30 - n. Saturn 12 11 ( 1 2 10 11 ) - 11 ( 5 6 ) 18.2.2024 12:12:3 (1.1.2024 0:0:0 - 7.9.2024 0:2:26)
p. Venus - 0 - n. 3 house 2 11 ( 2 3 9 10 ) - 3 1.3.2024 5:45:55 (1.1.2024 0:0:0 - 24.2.2025 8:21:25)
p. Venus - 180 - n. 9 house 2 11 ( 2 3 9 10 ) - 9 1.3.2024 5:45:55 (1.1.2024 0:0:0 - 24.2.2025 8:21:25)
Moon - 30 - n.Lilith 3 4 ( 11 12 ) - 4 ( 8 ) 27.4.2024 11:46:50 (28.3.2024 18:10:37 - 27.5.2024 6:39:54)
Moon - 30 - n.Neptune 3 4 ( 11 12 ) - 2 ( 4 5 7 8 ) 29.6.2024 19:13:25 (30.5.2024 22:55:19 - 29.7.2024 16:46:2)
p. 1 house - 30 - n.Lilith 3 1 - 4 ( 8 ) 28.7.2024 17:54:50 (1.1.2024 0:0:0 - 25.10.2025 0:33:31)
p. 7th house - 150 - n. Lilith 9 7 - 4 ( 8 ) 7/28/2024 17:54:50 (1/1/2024 0:0:0 - 10/25/2025 0:33:31)
Venus - 90 - n. Saturn 3 11 ( 2 3 9 10 ) - 11 ( 5 6 ) 7/31/2024 13:29:28 (1/1/2024 0:0:0 - 7/27/2025 10:56:49)
Moon - 120 - n. Mercury 3 4 ( 11 12 ) - 11 ( 1 2 10 11 ) 9/28/2024 4:18:31 (29.8.2024 4:19:17 - 28.10.2024 5:28:28)
p. 6th house - 180 - n.Neptune 8 6 - 2 ( 4 5 7 8 ) 10/31/2024 6:34:22 AM (1/1/2024 12:00 AM - 12/18/2025 2:12:13 PM)
p.12th house - 0 - n.Neptune 2 12 - 2 ( 4 5 7 8 ) 10/31/2024 6:34:22 AM (1/1/2024 12:00 AM - 12/18/2025 2:12:13 PM)
Moon - 90 - n.Pluto 3 4 ( 11 12 ) - 12 ( 8 9 ) 11/2/2024 5:24:46 PM (3.10.2024 16:2:4 - 2.12.2024 19:56:34)
p.Mercury - 30 - n. 2nd house 12 11 ( 1 2 10 11 ) - 2 4.11.2024 14:31:27 (17.4.2024 19:29:40 - 22.5.2025 5:14:7)
p.Mercury - 150 - n. 8 house 12 11 ( 1 2 10 11 ) - 8 4.11.2024 14:31:27 (17.4.2024 19:29:40 - 22.5.2025 5:14:7)
p. 4th house - 180 - n.Pluto 6 4 - 12 ( 8 9 ) 13.2.2025 7:22:0 (14.2.2024 7:22:0 - 13.2.2026 7:22:0)
p.10th house - 0 - n.Pluto 12 10 - 12 ( 8 9 ) 13.2.2025 7:22:0 (14.2.2024 7:22:0 - 13.2.2026 7:22:0)
Mercury - 30 - n.Venus 12 11 ( 1 2 10 11 ) - 11 ( 2 3 9 10 ) 9.3.2025 21:51:30 (22.8.2024 12:39:3 - 23.9.2025 7:20:2)
Moon - 30 - n. Jupiter 3 4 ( 11 12 ) - 2 ( 4 5 7 8 ) 14.6.2025 20:48:48 (15.5.2025 11:30:53 - 15.7.2025 7:3:47)
Moon - 150 - n. Uranus 3 4 ( 11 12 ) - 10 ( 6 7 ) 28.6.2025 6:36:59 (28.5.2025 20:53:41 - 28.7.2025 17:16:33)
Sun - 60 - n.Mercury 1 10 ( 1 12 ) - 11 ( 1 2 10 11 ) 2025-09-17 5:56:50 (2024-09-05 4:53:48 - 2026-09-29 3:6:33)
Mercury - 0 - n.Mars 12 11 ( 1 2 10 11 ) - 12 ( 3 4 ) 2025-09-30 17:27:36 (2025-03-17 9:39:11 - 2026-04-14 8:24:35)
Moon - 30 - n.Moon 3 4 ( 11 12 ) - 4 ( 11 12 ) 10/7/2025 8:10:43 AM (9/6/2025 7:28:6 PM - 11/6/2025 9:43:15 PM)
p. Moon - 0 - n. 4 house 3 4 ( 11 12 ) - 4 10/10/2025 6:3:1 PM (9/10/2025 5:14:43 AM - 11/10/2025 7:41:0 AM)
p. Moon - 180 - n. 10 house 3 4 ( 11 12 ) - 10 10.10.2025 18:3:1 (10.9.2025 5:14:43 - 10.11.2025 7:41:0)
Saturn - 120 - n.Lilith 12 11 ( 5 6 ) - 4 ( 8 ) 12.10.2025 13:12:21 (1.1.2024 0:0:0 - 31.12.2027 15:25:4)
p.Mercury - 0 - n. 1 house 12 11 ( 1 2 10 11 ) - 1 1.11.2025 22:51:7 (18.4.2025 22:11:10 - 16.5.2026 7:40:37)
p.Mercury - 180 - n. 7th house 12 11 ( 1 2 10 11 ) - 7 1.11.2025 22:51:7 (18.4.2025 22:11:10 - 16.5.2026 7:40:37)
p.Venus - 30 - n. 2nd house 3 11 ( 2 3 9 10 ) - 2 11/10/2025 13:52:31 (11/14/2024 3:8:0 - 11/8/2026 11:27:58 pm)
p.Venus - 150 - n. 8 house 3 11 ( 2 3 9 10 ) - 8 11/10/2025 1:52:31 PM (11/14/2024 3:8:0 AM - 11/8/2026 11:27:58 PM)
Moon - 150 - n.Sun 4 ( 11 12 ) - 10 ( 1 12 ) 11/28/2025 10:58:47 PM (10/29/2025 8:51:31 AM - 12/29/2025 1:52:27 PM)
p.Moon - 30 - n. 3 house 4 (11 12) - 3 12/13/2025 3:23:12 (11/12/2025 12:54:11 - 1/12/2026 6:37:41 PM)
p. Moon - 150 - n. 9 house 4 (11 12) - 9 12/13/2025 3:23:12 (11/12/2025 12:54:11 - 1/12/2026 6:37:41 PM)
Moon - 120 - n. Saturn 4 (11 12) - 11 (5 6) 12/26/2025 2:45:9 AM (11/25/2025 11:56:37 AM - 1/25/2026 6:18:15 PM)











rectification of the horoscope at any time interval by events.








astrological program
Astrological diagnostics astropulsar for diagnostics of the state of planets and houses in any period of time in dynamics
for astrological studies of the influence of various forecast methods



Astrological programs rectification Shestopalov system predictive astrology jyotish tarot




Astrological event scanner
There are 2 forecast indicators: quantitative and qualitative
Graphs based on coefficients allow you to get a new level of forecasting events.
The more accurate the aspect in progressions, the greater the probability of the event. When constructing graphs, a qualitative parameter of the CTA is used - the coefficient of the exact aspect. The CTA is calculated based on a bell-shaped graph. With an exact orb, the coefficient = 1. With a maximum orb, the aspect approaches zero. The CTA graph of 1 aspect looks like this in the picture:

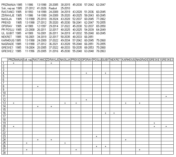
To plot the event formula graph, the total CTA is used.
It is calculated by summing the CTA of all progressive aspects that are related to the desired event formula. Calculating the total CTA value for a specific date is shown in the diagram in the picture. Slow progression is the current program of our destiny. Its instructions determine the events that change our life or our status. The action of the progressive aspect ends, but we do not return to the original state. Events caused by progressive aspects leave a mark for life. To implement an event, 3 aspects are needed (read here about the aspects of the planets in forecasts).








































free 5 year event forecast
Предсказательная астрология. Ректификация

С помощью астрологии можно решить главные проблемы, которые стоят перед каждым человеком — как стать счастливым, здоровым и богатым. Первое решается с помощью формулы счастья, описанной Гермесом Триждывеличайшим 5000 лет назад, решению второй задачи помогает знание формул болезни, а третьей — формула богатства, полученная мною в 2000 году. В тибетской астрологии астролог определяется как человек, накопивший благие заслуги в прошлых воплощениях, которые позволяют ему управлять событиями. Человек
без знания будущего подобен автомобилю, движущемуся в темноте с выключенными фарами. Астрология — это свет, который позволяет видеть дорогу впереди. В этом случае свободная воля перестаёт быть пустым звуком. Только знание позволяет принимать правильные решения и делать осознанный выбор.
Гороскоп субъекта, его натальная карта, является картой данного микрокосма, который пространственно организован подобно макрокосму. Используя современный язык, можно сказать, что натальная карта является картой голограммы субъекта, запечатлевшей картину мира в момент его рождения.
Концепция формул событий позволила создать надежный механизм прогнозирования событий, в основу которого легли точные методики прогнозирования и ректификации.
ПРОГРЕССИИ
Все виды прогрессии основаны на изменении положения элементов исходной карты с определенной скоростью. Причем как скорость движения элементов, так и направление могут отличаться от скорости и направления изменения точек на реальной небесной сфере. С оккультной точки зрения, натальная карта, отражающая положение планет в момент рождения человека, является с этого
момента картой Микрокосма, внутренней Вселенной человека. События в этой внутренней Вселенной могут происходить иначе, чем в реальном Космосе — Макрокосме. Метод прогрессий образно можно сравнить с работой часов, на циферблате которых с различной скоростью движутся часовая, минутная и секундная стрелки. Метод прогрессий можно также сравнить с программой работы
компьютера и назвать его программой нашей судьбы. Отсюда становится понятным, что все виды прогрессий технически отличаются друг от друга скоростью и особенностями движения элементов нашего внутреннего пространства. При этом, как и в случае транзитов, направление прогрессий может быть прямым, направленным в будущее, и обратным — волна, идущая в прошлое от момента
рождения. В последнем случае мы имеем дело с так называемыми регрессиями. Анализ прогрессий сводится к анализу соотношений
прогрессивных элементов с элементами радикса.
Основным принципом, лежащим в основе прогрессий, является принцип проекций, или принцип голограммы, который яа оккультном языке звучит как «все — во всем»: самая малая точка Вселенной содержит в себе все необходимое для возникновения новой Вселенной, а значит самое малое мгновение содержит в себе Вечность.
Медленная прогрессия представляет собой действующую программу нашей судьбы. Ее указания определяют события, которые меняют нашу жизнь или наш статус. Действие прогрессивного аспекта заканчивается, но мы не возвращаемся к исходному состоянию. События, обусловленные прогрессивными аспектами, оставляют след на всю жизнь.
Быстрая прогрессия, как и транзиты, не имеет большого самостоятельного значения и значительные события
дает только на фоне медленной. В случае противоречивых указаний быстрой и медленной прогрессий приоритет
отдается медленной прогрессии
Иначе обстоит дело с прогрессиями. Они не меняют своего значения ни при каких обстоятельствах. Напряженные прогрессивные аспекты, такие как: квадратура, квиконс, оппозиция — определяют негативные события, а гармоничные: полусекстиль, секстиль, трин — сопутствуют успеху и удаче. Соединение, как известно, зависит от взаимодействующих элементов конкретного гороскопа.
Быстрая прогрессия, как и транзиты, не имеет большого самостоятельного значения и значительные события дает только на фоне медленной. В случае противоречивых указаний быстрой и медленной прогрессий приоритет отдается медленной прогрессии.
Формулы событий
Для реализации события необходимо и достаточно троекратного повторения ситуации на каждом из уровней:
в натальной карте, в медленной прогрессии, в быстрой прогрессии и в транзитных аспектах. Такое замыкание
посредством воспроизведения ситуации на всех основных уровнях приводит к неизбежности события.
Человек может и должен не болеть. Астрология помогает ему в решении этой непростой задачи, облегчая
медицинскую диагностику, заблаговременно выявляя периоды обострений и предоставляя информацию об оптимальном времени лечения и проведения хирургической операции. Учет этих моментов дает возможность человеку заранее принять адекватные ситуации меры предосторожности и избежать многих неприятностей.
1. Зачатие и рождение ребенка IV ± V
2. Формула творческого успеха (поступление в институт, защита диссертации, утверждение проекта, программы,
достижения в спорте) IX + X
3. Формула любви МП V + VII + X
4. Разочарования в любви, измены МП V ~ VII ~ X
5. Регистрация брака БП VII + X
6. Развод (в прогностике) VII ~ XI или Уран
7. Разлука, отчуждение V ~ VII ~ X
8. Путешествие I ± IX
9. Перемена адреса в городе
или губернии IV ± III
10. Переезд в другой город или страну IV ± III ± IX ± XII
(чем больше участие IX и XII
домов - тем дальше)
11. Вынужденный переезд IV ~ IX ~ XII
12. Турне V ± IX
13. Служебная поездка V I ± I X
14. Командировка VI ± X ± IX
15. Поступление на работу II + VI + X
16. Повышение в должности VI+ х
17. Назначение на руководящую
должность VI + VIII + X
18. Увольнение с работы
по собственному желанию I ~ XI ~ II или
II ~ VI ~ X ~ XI
19. Увольнение по сокращению
штатов II ~ X ~ VI
20. Переход на другую работу VI±XI или
VI ± X ± XI
21. Получение наследства VIII + XI + II
22. Получение недвижимости IV + VIII + XI +
по наследству II + V + VII
23. Формула болезни VI | VIII | XII ~
VI | VIII | XII
24. Лечение VI | VIII | XII +
VI | VIII | XII
25. Незначительная травма I - I
26. Травма с временной потерей
трудоспособности I ~ VI
27. Несчастный случай, травма
с возможной госпитализацией I ~ XII
28. Несчастный случай с опасностью
для жизни I ~ XII & I ~ VIII
29. Опасность для жизни I | X ~ VIII
30. Защитные аспекты 11 X + VIII
31. Формула причинения физического
вреда другому лицу или I | X ~ VIII ~ VII
получения физического вреда
от другого лица
32. Правонарушения и преступления IX - XII
зачатие ребенка 4 +/- 5
поступление в институт 9 +/- 10
регистрация брака 7 +/- 10
переезд 4 +/- 5
командировка 6 +/- 9
травма 1 - 1
несчастный случай 1 - 12
преступление 9 - 12
спортивный успех 9 + 10
купля - продажа 2 + 3
Талисман богатства 2 - 9 - 11
талисман успеха социальной и творческой реализации признания заслуг 9 - 10
Формула любви 5 - 7
талисман заработка 2 - 3
формула среднего бизнеса 2 - 8
защита от аварий 3 - 8
намагничивание целебной воды 6-8-12
талисман формула управления судьбой 4-9-12
талисман астролога помогает строить точный гороскоп и ректификацию 3 - 11
Талисман денег - увеличение благосостояния состоит из гармоничных аспектов 2 - 8
формула ректификации
-------------------------------------------------------------------
формула опасности для жизни
1 / 10 - 8
меркурий - 8 дом указания на преждевременную гибель
преждевременная гибель
формула гибели ребенка
у матери 1 сын по 5 дому
у матери 2 сын по 11 дому
2 и 5 поражен 8 и 12
11 и 8 поражены 6 и 8
( 2 - 8 ) + ( 2 - 12 ) + ( 5 - 8 ) + ( 5 - 12 )>= 3 старшый сын
( 11 - 6 ) + ( 11 - 8 ) + ( 8 - 6 ) + ( 8 - 8 )>= 3 младшый сын
-------------------------------------------------------------------
смерть отца
1 ) ( 1 +/- 8 ) + ( 4 +/- 8 ) >= 3
2 ) ( 1 +/- 11 ) + ( 4 +/- 11 ) + ( 8 +/- 11 ) >= 3
3 ) И 1, 2
результат = 3
гармоничные аспекты во время смерти отца значат наследство.
смерть близких смешанные аспекты
1 и 4 дом должны быть в аспекте с 8 не меньше 3 раз смешанные аспекты
1 и 4 должен быть в аспекте с 11 не меньше 3 раз это можна заменить на 8 - 11
эта формула для обращения внимания его близких.
-------------------------------------------------------------------
смерть метери
10 дом мать
10 от 10 = 7 дом
должны быть в аспекте с 8 домом
8 от 10 = 5 дом
10 или 7 аспкт с 8 домом
10 или 7 аспкт с 5 или 8 - 5
1 ) ( 10 +/- 8 ) + ( 7 +/- 8 ) >= 3
2 ) ( 10 +/- 5 ) + ( 7 +/- 5 ) + ( 8 +/- 5 ) >= 3
3 ) И 1, 2
результат = 3
-------------------------------------------------------------------
для братьев и сестер двоюродных тоже или смерть племяника
смерть ребенка брата или сестры
3 и 12 с 8
3 и 12 с 10 или 8 с 10
1 ) ( 3 +/- 8 ) + ( 12 +/- 8 ) >= 3
2 ) ( 3 +/- 10 ) + ( 12 +/- 10 ) + ( 8 +/- 10 ) >= 3
3 ) И 1, 2
результат = 3
-------------------------------------------------------------------
судебный приговор. дата вынесения приговора.
9 - 12 это преступление и наказание
1 ) ( 9 - 12 ) >= 3
результат = 1
-------------------------------------------------------------------
переезд 4 - 9 и 4 - 12 и 4 - 3
-------------------------------------------------------------------
серьйозная автомобильная авария
формула опасности
1 - 3 - 8 опасность на улице или от транспорта
в радиксе искать указания на аварию не нужно
Луна в МП дает указания на месяц события
8 - 3 повреждения автомоболя
11 - 3 аозможная авария
любое поражение 3 дома и Меркурия говорит о возможной аварии
меркурий как транспортное средство
повреждение от 11 дома увеличивает аварию
от 6 или 12 более серьйозная авария но небольшие затраты
если поражение от 8 дома то затраты значительные при аварии.
если поражение от 7 дома то это встреча - столкновение
3 - 8 автомобильная авария
10 + 8 защитный аспект
8 - 10 формула опасности
7 - 8 формула столкновения
3 - 8 формула автомобильной аварии
должна быть формула опасности 8 - 10 или 8 - 1
а также 7 - 8 столкновение
3 - 8 авария
для аварии достаточно чтобы было в транзитах или быстрой
1 ) ( 1 - 8 ) + ( 10 - 8 ) >= 3
2 ) ( 7 - 8 ) >= 3
3 ) ( 3 - 8 ) >= 3
4 ) И 1, 2, 3
результат = 4
-------------------------------------------------------------------
Угон автомобиля
если выкинули из машины то должно быть 1 - 8 или 10 - 8 опасность для жизни
материальный ущерб 2 - 3 - 8
формула преступления 9 - 12 значит нарушение или пренебрижение правил безопасности.
8 + 3 безопасность а в напряженных аспектах 8 - 3 опасность для автомобиля
8 - 2 крупный материальный ущерб
1 ) ( 9 - 12 ) >= 3
2 ) ( 3 - 8 ) >= 3
3 ) ( 2 - 8 ) >= 1 чем больше указаний тем больший ущерб
4 ) И 1, 2, 3
результат = 4
наличие в гороскопе 3 - 8 говорит о том что не всегда уделяет должное внимание безопасности
покупка автомобиля
2 + 8 хорошее материальное положение или бизнес это дает возможность купить автомобиль
У людей занимающихся бизнесом сильно аспектирована черная луна
Бизнесмены на напряженных аспектах и хапают много денег.
В транзитах на напряженных аспектах много денег в бизнесе.
В прогрессиях напряженные аспекты приводят к потерям.
( 2 + 3 ) + ( 2 + Муркурий ) формула приобритения автомобиля
( ( 2 + 3 ) + ( 2 + Муркурий ) ) И ( 2 + 8 ) это дорогой автомобиль.
3 дом и Муркурий отвечает за транспортное средство.
Муркурий + 2 дом
Аспекты на покупку автомобиля могут быть на расходящихся аспектах.
БП и транзиты не важны. Важен гороскоп автомобиля.
Марс с Юпитером не должны поражать друг друга в гороскопа автомобиля.
Прогрессии это мотивации если они хорошие то решения правильные
если аспекты напряженные то решения будкт не правильные.
Чтобы Марс и Сатурн Плунон и особенно друг друга в гороскопе покупки никого
не поражали поскольку это дефект конструкции который проявит себя.
Марс поражает Юпитер это пожар и взрыв в автомобиле.
Не должно быть планет без гармоничных аспектов.
-------------------------------------------------------------------
покупка недвижимости
качество жилья зависит от 4 дома.
каждый дом богат своими связями.
4 + 8 приобритение недвижимости
при неблагоприятных аспектах последствия плохие
10 + 8 говорит о хороших доходах и дорогой покупке
покупка квартиры может быть на расходящихся аспектах
3 -/+ 4 формула перемены адреса
3 - 4 вынужденная перемена адреса
2 -/+ 4 формула аренды
в БП создает аспект с сигнификатором недвижимости элементы 4 дома
если во время покупки 9 - 12 возможны судебные тяжбы из за недвижимости
транзиты и БП не важны
Покупать нужно
-------------------------------------------------------------------
Зачатие ребенка 4 + 5
прогрессии показывают желание и мотивацию
взять ребенка с детского дома
формула бесплодия
Луна особо в знаках Скорпион Козерог пораженная Сатурном без гармоничных аспектов
в формуле болезни.
4 + 5 формула зачатия в медленной прогрессии
в зачатии только медленные прогрессии и женский календарь
транзиты и БП не важны
нужно смотреть чтобы не было опасности 1/ 10 - 8
8 - 4 опасность для плода
-------------------------------------------------------------------
Чтобы узнать дату орб делится на скорость и умножается на 365 дней
это показывает дату точного аспекта.
Луна 1 гр в месяц
Солнце Венера Марс и куспиды домов 1 гр год.
Юпитер 4 года и больше 1 градус
-------------------------------------------------------------------
формула брака
формула любви в медленных прогрессиях
( 10 + 7 ) + ( 5 + 7 ) + ( 5 + 10 ) >= 3
( 11 - 7 ) + ( 4 - 11 ) формула разрыва отношений
7 - 10 отчуждение разруха
-------------------------------------------------------------------
повышение в руководящей должности или поступление на работу
напряженные гороскопы идут на все проблемы
( 2 + 6 ) + ( 2 + 10 ) + ( 10 + 6 ) >= 3 указания на работу в медленных прогрессиях
2 + 6 работа по найму
10 + 2 хороший оклад
10 + 6 руководящяя должность
10 + 8 руководящяя работа с материальной ответственностью
2 + 8 для бизнеса
6 + 10 >= 3 укз в радиксе
10 + 8 дом часто бывает неоюходим для руководящей должности
8 дом это дом чужих денег ( материальная ответственность )
10 + 2 должность с хорошим окладом
ректификаци по БП по назначению на руководящую должность куспит 10 дома в аспекте с планетой элементом 10 дома
просто поступпление на работу по МС с элементом 6 дома
эти даты не точно работают поскольку связано с бугалтерскими делами и выходными
защита дисертации МС в аспекте с элементом 9 дома
медленная прогрессия
Увольнение по собственному желанию с руководящей должности 11 - 10
Увольнение не с руководящей должности 11 или Уран - 6 >= 3 указания внезапно появляются неблагоприятные условия в виде смены вида работы или нового сотрудника
сокращение с работы 10 - 2
увольнение может быть на расходящихся аспектах
-------------------------------------------------------------------
эмиграция 4 - 9 - 12
открытие фирмы 2 + 8
при гармоничных аспектах 8 дома в прогрессиях
Орбы аспектов для натала транзита соляра лунара

Формулы событий есть 3 видов
Простые
сложные
составные
интерфейс ввода формул событий для прогноза и ректификации












методы прогноза
транзит
медленная прогрессия
быстрая прогрессия
Соляр
Лунар
дирекции солнечной дуги.
символические дирекции
профекции
дирекция 1 гр - месяц
дирекция 1 гр - день
Дуоденарии
Субдуоденарии
новенарии
септенарии
Мера смерти
Мера Нароса
Обратный транзит
недельные прогрессии
обр. недельные прогрессии
вторичная прогрессия
обр.вторичная прогрессия
минорная прогрессия
обр.минорная прогрессия
третичная прогрессия
обр.третичная прогрессия
Период прогноза 01.01.1980 - 01.01.2030
Шаг прогноза 24:00:00
прогноз GMT 0:0:0
---------------------Методы прогноза-------------------
Медленная прогрессия
Дирекция 1 ° = 1 год
-------------------------------------------------------
дата 1.1.1980 0:0:0 - 28:3:1980 0:0:0
Медленная прогрессия Солнце<0>Венера
Дирекция 1 ° = 1 год Солнце<0>Венера
дата 13.11.1980 0:0:0 - 11:4:1981 0:0:0
Медленная прогрессия Солнце<30>Марс
Дирекция 1 ° = 1 год Солнце<30>Марс
дата 1.3.1981 0:0:0 - 24:4:1981 0:0:0
Медленная прогрессия Луна<120>Венера
Дирекция 1 ° = 1 год Луна<180>Венера
дата 30.3.1981 0:0:0 - 22:5:1981 0:0:0
Медленная прогрессия Луна<150>Марс
Дирекция 1 ° = 1 год Луна<150>Марс
дата 1.1.1980 0:0:0 - 22:10:1981 0:0:0
Медленная прогрессия Лилит<150>Меркурий
Дирекция 1 ° = 1 год Лилит<180>Меркурий
дата 5.12.1988 0:0:0 - 21:12:1988 0:0:0
Медленная прогрессия Солнце<120>Лилит
Дирекция 1 ° = 1 год Солнце<120>Лилит
дата 17.3.1990 0:0:0 - 6:5:1990 0:0:0
Медленная прогрессия Луна<120>Лилит
Дирекция 1 ° = 1 год Луна<60>Лилит
дата 21.4.1990 0:0:0 - 9:6:1990 0:0:0
Медленная прогрессия Луна<60>Нептун
Дирекция 1 ° = 1 год Луна<120>Нептун
дата 30.11.1994 0:0:0 - 25:1:1995 0:0:0
Медленная прогрессия Луна<90>Меркурий
Дирекция 1 ° = 1 год Луна<150>Меркурий
дата 3.1.1995 0:0:0 - 28:2:1995 0:0:0
Медленная прогрессия Луна<60>Плутон
Дирекция 1 ° = 1 год Луна<180>Плутон
дата 17.5.2002 0:0:0 - 13:1:2003 0:0:0
Медленная прогрессия Меркурий<120>Лилит
Дирекция 1 ° = 1 год Меркурий<90>Лилит
дата 2.2.2003 0:0:0 - 1:4:2003 0:0:0
Медленная прогрессия Луна<90>Юпитер
Дирекция 1 ° = 1 год Луна<120>Юпитер
дата 15.2.2003 0:0:0 - 15:4:2003 0:0:0
Медленная прогрессия Луна<150>Уран
Дирекция 1 ° = 1 год Луна<120>Уран
дата 26.5.2002 0:0:0 - 24:5:2004 0:0:0
Медленная прогрессия Меркурий<60>Нептун
Дирекция 1 ° = 1 год Меркурий<30>Нептун
дата 29.9.2005 0:0:0 - 23:11:2005 0:0:0
Медленная прогрессия Луна<120>Раху
Дирекция 1 ° = 1 год Луна<120>Раху
дата 29.9.2005 0:0:0 - 23:11:2005 0:0:0
Медленная прогрессия Луна<60>Кету
Дирекция 1 ° = 1 год Луна<60>Кету
дата 10.10.2005 0:0:0 - 5:12:2005 0:0:0
Медленная прогрессия Луна<60>Луна
Дирекция 1 ° = 1 год Луна<60>Луна
дата 31.5.2005 0:0:0 - 30:5:2007 0:0:0
Медленная прогрессия Нептун<0>Нептун
Дирекция 1 ° = 1 год Нептун<60>Нептун
дата 6.3.2008 0:0:0 - 28:4:2008 0:0:0
Медленная прогрессия Луна<90>Солнце
Дирекция 1 ° = 1 год Луна<120>Солнце
дата 30.3.2008 0:0:0 - 22:5:2008 0:0:0
Медленная прогрессия Луна<120>Сатурн
Дирекция 1 ° = 1 год Луна<150>Сатурн
дата 26.4.2008 0:0:0 - 25:4:2010 0:0:0
Медленная прогрессия Уран<0>Раху
Дирекция 1 ° = 1 год Уран<60>Раху
дата 26.4.2008 0:0:0 - 25:4:2010 0:0:0
Медленная прогрессия Уран<180>Кету
Дирекция 1 ° = 1 год Уран<120>Кету
дата 30.7.2010 0:0:0 - 19:9:2010 0:0:0
Медленная прогрессия Луна<90>Венера
Дирекция 1 ° = 1 год Луна<150>Венера
дата 22.9.2008 0:0:0 - 21:9:2010 0:0:0
Медленная прогрессия Уран<180>Луна
Дирекция 1 ° = 1 год Уран<120>Луна
дата 20.11.2010 0:0:0 - 18:11:2012 0:0:0
Медленная прогрессия Юпитер<120>Солнце
Дирекция 1 ° = 1 год Юпитер<180>Солнце
дата 17.10.2012 0:0:0 - 7:12:2012 0:0:0
Медленная прогрессия Луна<90>Марс
Дирекция 1 ° = 1 год Луна<180>Марс
дата 10.10.2011 0:0:0 - 8:10:2013 0:0:0
Медленная прогрессия Юпитер<90>Сатурн
Дирекция 1 ° = 1 год Юпитер<150>Сатурн
дата 28.6.2017 0:0:0 - 18:11:2017 0:0:0
Медленная прогрессия Марс<90>Меркурий
Дирекция 1 ° = 1 год Марс<120>Меркурий
дата 2.9.2018 0:0:0 - 20:9:2019 0:0:0
Медленная прогрессия Марс<60>Плутон
Дирекция 1 ° = 1 год Марс<90>Плутон
дата 12.9.2019 0:0:0 - 3:11:2019 0:0:0
Медленная прогрессия Луна<90>Лилит
Дирекция 1 ° = 1 год Луна<90>Лилит
дата 30.8.2024 0:0:0 - 28:10:2024 0:0:0
Медленная прогрессия Луна<120>Меркурий
Дирекция 1 ° = 1 год Луна<120>Меркурий
Астрологический язык програмирования гороскопа
polm. мужской пол
polg. женский пол
rogd. дневное рождение
rogn. ночное рождение
uprvdome управитель дома в доме
data2 дата рождения в периоде дат
data дата рождения
pldom планета в доме
asp аспекты
retrop ретроградная планета
or ИЛИ
and И
inv инверсия
znakcent акцентированный знак
plznak планета в знаке
kdznak куспид дома в знаке
plznakdekan планета в декане
kdznakdekan куспид дома в декане
plznakgradus планета в градусе
kdznakgradus куспид дома в градусе
slformula сложная формула
plznakterm планета в 5 градуснике (терме)
plgradus планета в градусе 0 - 360
plgradusbz планета в градусе 0 - 30 без знака
pltretdoma планета в трети дом
or.(1,2) - логическая команда ИЛИ
and.(1,2) - логическая команда И
inv.(1) - логическая команда инверсия 0 = 1 1 = 0
plznak.(1,2) планета в знаке
kdznak.(1,2) куспид дома в знаке
plznakdekan.(1,2,1) - планета в декане
kdznakdekan.(1,2,1) - куспид дома в декане
plznakgradus.(1,2,1) - планета в градусе
kdznakgradus.(1,2,1) - куспид дома в градусе

Сканер точных аспектов в МП
Меркурий - 30 - н.Сатурн 12 11 ( 1 2 10 11 ) - 11 ( 5 6 ) 18.2.2024 12:12:3 (1.1.2024 0:0:0 - 7.9.2024 0:2:26)
п.Венера - 0 - н. 3 дом 2 11 ( 2 3 9 10 ) - 3 1.3.2024 5:45:55 (1.1.2024 0:0:0 - 24.2.2025 8:21:25)
п.Венера - 180 - н. 9 дом 2 11 ( 2 3 9 10 ) - 9 1.3.2024 5:45:55 (1.1.2024 0:0:0 - 24.2.2025 8:21:25)
Луна - 30 - н.Лилит 3 4 ( 11 12 ) - 4 ( 8 ) 27.4.2024 11:46:50 (28.3.2024 18:10:37 - 27.5.2024 6:39:54)
Луна - 30 - н.Нептун 3 4 ( 11 12 ) - 2 ( 4 5 7 8 ) 29.6.2024 19:13:25 (30.5.2024 22:55:19 - 29.7.2024 16:46:2)
п. 1 дом - 30 - н.Лилит 3 1 - 4 ( 8 ) 28.7.2024 17:54:50 (1.1.2024 0:0:0 - 25.10.2025 0:33:31)
п. 7 дом - 150 - н.Лилит 9 7 - 4 ( 8 ) 28.7.2024 17:54:50 (1.1.2024 0:0:0 - 25.10.2025 0:33:31)
Венера - 90 - н.Сатурн 3 11 ( 2 3 9 10 ) - 11 ( 5 6 ) 31.7.2024 13:29:28 (1.1.2024 0:0:0 - 27.7.2025 10:56:49)
Луна - 120 - н.Меркурий 3 4 ( 11 12 ) - 11 ( 1 2 10 11 ) 28.9.2024 4:18:31 (29.8.2024 4:19:17 - 28.10.2024 5:28:28)
п. 6 дом - 180 - н.Нептун 8 6 - 2 ( 4 5 7 8 ) 31.10.2024 6:34:22 (1.1.2024 0:0:0 - 18.12.2025 14:12:13)
п.12 дом - 0 - н.Нептун 2 12 - 2 ( 4 5 7 8 ) 31.10.2024 6:34:22 (1.1.2024 0:0:0 - 18.12.2025 14:12:13)
Луна - 90 - н.Плутон 3 4 ( 11 12 ) - 12 ( 8 9 ) 2.11.2024 17:24:46 (3.10.2024 16:2:4 - 2.12.2024 19:56:34)
п.Меркурий - 30 - н. 2 дом 12 11 ( 1 2 10 11 ) - 2 4.11.2024 14:31:27 (17.4.2024 19:29:40 - 22.5.2025 5:14:7)
п.Меркурий - 150 - н. 8 дом 12 11 ( 1 2 10 11 ) - 8 4.11.2024 14:31:27 (17.4.2024 19:29:40 - 22.5.2025 5:14:7)
п. 4 дом - 180 - н.Плутон 6 4 - 12 ( 8 9 ) 13.2.2025 7:22:0 (14.2.2024 7:22:0 - 13.2.2026 7:22:0)
п.10 дом - 0 - н.Плутон 12 10 - 12 ( 8 9 ) 13.2.2025 7:22:0 (14.2.2024 7:22:0 - 13.2.2026 7:22:0)
Меркурий - 30 - н.Венера 12 11 ( 1 2 10 11 ) - 11 ( 2 3 9 10 ) 9.3.2025 21:51:30 (22.8.2024 12:39:3 - 23.9.2025 7:20:2)
Луна - 30 - н.Юпитер 3 4 ( 11 12 ) - 2 ( 4 5 7 8 ) 14.6.2025 20:48:48 (15.5.2025 11:30:53 - 15.7.2025 7:3:47)
Луна - 150 - н.Уран 3 4 ( 11 12 ) - 10 ( 6 7 ) 28.6.2025 6:36:59 (28.5.2025 20:53:41 - 28.7.2025 17:16:33)
Солнце - 60 - н.Меркурий 1 10 ( 1 12 ) - 11 ( 1 2 10 11 ) 17.9.2025 5:56:50 (5.9.2024 4:53:48 - 29.9.2026 3:6:33)
Меркурий - 0 - н.Марс 12 11 ( 1 2 10 11 ) - 12 ( 3 4 ) 30.9.2025 17:27:36 (17.3.2025 9:39:11 - 14.4.2026 8:24:35)
Луна - 30 - н.Луна 3 4 ( 11 12 ) - 4 ( 11 12 ) 7.10.2025 8:10:43 (6.9.2025 19:28:6 - 6.11.2025 21:43:15)
п.Луна - 0 - н. 4 дом 3 4 ( 11 12 ) - 4 10.10.2025 18:3:1 (10.9.2025 5:14:43 - 10.11.2025 7:41:0)
п.Луна - 180 - н. 10 дом 3 4 ( 11 12 ) - 10 10.10.2025 18:3:1 (10.9.2025 5:14:43 - 10.11.2025 7:41:0)
Сатурн - 120 - н.Лилит 12 11 ( 5 6 ) - 4 ( 8 ) 12.10.2025 13:12:21 (1.1.2024 0:0:0 - 31.12.2027 15:25:4)
п.Меркурий - 0 - н. 1 дом 12 11 ( 1 2 10 11 ) - 1 1.11.2025 22:51:7 (18.4.2025 22:11:10 - 16.5.2026 7:40:37)
п.Меркурий - 180 - н. 7 дом 12 11 ( 1 2 10 11 ) - 7 1.11.2025 22:51:7 (18.4.2025 22:11:10 - 16.5.2026 7:40:37)
п.Венера - 30 - н. 2 дом 3 11 ( 2 3 9 10 ) - 2 10.11.2025 13:52:31 (14.11.2024 3:8:0 - 8.11.2026 23:27:58)
п.Венера - 150 - н. 8 дом 3 11 ( 2 3 9 10 ) - 8 10.11.2025 13:52:31 (14.11.2024 3:8:0 - 8.11.2026 23:27:58)
Луна - 150 - н.Солнце 4 ( 11 12 ) - 10 ( 1 12 ) 28.11.2025 22:58:47 (29.10.2025 8:51:31 - 29.12.2025 13:52:27)
п.Луна - 30 - н. 3 дом 4 ( 11 12 ) - 3 13.12.2025 3:23:12 (12.11.2025 12:54:11 - 12.1.2026 18:37:41)
п.Луна - 150 - н. 9 дом 4 ( 11 12 ) - 9 13.12.2025 3:23:12 (12.11.2025 12:54:11 - 12.1.2026 18:37:41)
Луна - 120 - н.Сатурн 4 ( 11 12 ) - 11 ( 5 6 ) 26.12.2025 2:45:9 (25.11.2025 11:56:37 - 25.1.2026 18:18:15)











ректификация гороскопа на любом интервале времени событиями.








астрологическая программа
Астрологическая диагностика астропульсар для диагностики сосояния планет и домов в любой период времени в динамике
для астрологических исследований влияния различных методов прогноза



Астрологические программы ректификация Система Шестопалова предсказательная астрология джотиш таро




Астрологический сканер событий
Существуют 2 показателя прогноза количественный и качественный
Графики на основе коэффициентов позволяют получить новый уровень прогнозирования событий.
Чем точнее аспект в прогрессиях, тем больше вероятность события При построении графиков используется качественный параметр КТА - коэфициент точного аспекта. КТА раcчитывается на основе графика в виде колокола При точном орбе
коэффициент = 1. При максимальном орбе аспект приближается к нулю. График КТА 1 аспекта выглядит на картинке так:

Для построения графика формулы события используется суммарный КТА.
Он рассчитывается суммированием КТА всех прогрессивных аспектов которые имеют отношение к нужной формуле событий. Вычисление значения суммарного КТА на конкретную дату показано на схеме в картинке. Медленная прогрессия представляет собой действующую программу нашей судьбы. Ее указания определяют события, которые меняют нашу жизнь или наш статус. Действие прогрессивного аспекта заканчивается, но мы не возвращаемся к исходному состоянию. События, обусловленные прогрессивными аспектами, оставляют след на всю жизнь. Для реализации события нужны 3 аспекта(читайте здесь про аспекты планет в прогнозах).








































на главнцю